El cerca-meses...electorals

elbuscaminas

Com ja sabreu aquest 2015 serà un any electoral. El proper mes de maig hi ha les eleccions municipals, molt probablement el 27 de setembre hi haurà eleccions al Parlament de Catalunya, i com a molt tard el 20 de desembre tindrà lloc les eleccions a les Corts Generals d’Espanya.

Aprofitant l’avinentesa, i rememorant un antic post que va tenir molt bona acollida entre els lectors del Perfil de la Ciutat —On és vota com Catalunya?–, intentarem fer el mateix però per als comicis municipals, és a dir, veure per cadascun dels 13 municipis del Perfil de la Ciutat a quines meses electorals s’obté un resultat molt similar al del conjunt del municipi.

Val a dir, però, que hi ha diverses diferències entre aquesta entrada i la de On es vota com Catalunya?, que tot seguit passaré a enumerar:

1a. En aquest post es fa l’anàlisi per mesa electoral, mentre que a On es vota... l’anàlisi es va fer per secció censal.

2a. En aquesta entrada únicament s’analitzen els 13 municipis del Perfil de la Ciutat, mentre que a On es vota... es va analitzar tots els municipis de Catalunya.

3a. Una altra diferència rau en el tipus d’eleccions, ja que en les eleccions al Parlament de Catalunya tots els electors de cada província poden escollir entre les mateixes candidatures, mentre que en les eleccions municipals a cada municipi varien les candidatures que es presenten.

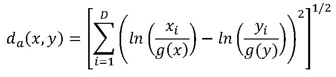
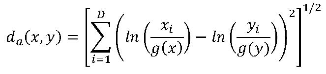
4a. En el post On es vota... es va utilitzar la distància euclidiana [1] per veure quines seccions censals presentaven un perfil molt similar al de Catalunya. En aquesta entrada, però, s’utilitza la distància d’Aitchison [2] per veure quines meses obtenen un resultat similar al del municipi.

Aquest canvi en la mesura de distàncies el fem després de llegir el treball de fi de màster titulat Estudio de las Mesas Testigo en la elecciones al Parlamento Gallego, i també després de llegir l’entrada Els sondeigs electorals retratats en el blog de l’Any Internacional de l’Estadística 2013. En aquests dos treballs es fa referència a les dades composicionals.

Una dada composicional [3] x=(x1,x2,...,xD)’ amb D parts, és un vector amb components estrictament positives, tal que la suma de totes les parts és igual a una constant K. Un exemple de dada composicional és la distribució percentual dels vots.

  1. Les dades

El Departament de Governació i Relacions Institucionals de la Generalitat de Catalunya posa a l’abast de la població els fitxers dels resultats electorals de Catalunya a nivell de mesa electoral (enllaç). Val a dir, que les dades per mesa de les darreres eleccions municipals (les de 2011) no estan disponibles en la pàgina web del Departament de Governació i Relacions Institucionals, i per aconseguir les dades es va fer una petició per correu electrònic al Departament, que va ser contestada al cap de pocs dies amb la corresponent base de dades amb els resultats electorals de les eleccions municipals de 2011.

  1. Els càlculs

En cadascuna de les darreres quatre eleccions municipals, i per cada municipi, el nombre de candidatures presentades és diferent, dificultant-ne la sistematització del càlcul de la distància d’Aitchison.

Aquest càlcul s’ha acabat fent a través d’una rutina construïda amb Visual Basic, i desenvolupada per executar-se a través d’Access. Amb aquesta rutina, per cada mesa electoral, de cada municipi del Perfil, i en cadascuna de les darreres quatre eleccions municipals, s’obté la distància d’Aitchison.

  1. Els resultats

L’objectiu d’aquesta entrada és assenyalar unes determinades meses electorals, per tal de veure si amb els resultats que s’obtenen en aquestes meses se’n pot extrapolar el resultat per al conjunt del municipi.

Com a control s’han utilitzat les eleccions del 2011. És a dir, s’ha fet una ponderació de la distància d’Aitchison de les meses a les eleccions municipals del 2007 (80%) i a les del 2003 (20%), i s’han seleccionat les meses amb aquesta distància ponderada més baixa. Un cop seleccionades les meses, s’han sumat els resultats que s’han obtingut en aquestes meses i s’ha aplicat la regla d’Hondt per veure si coincidia la distribució de regidors d’aquestes meses de control en les eleccions municipals de 2011 amb la distribució de regidors que finalment va haver-hi en les eleccions de 2011. En aquest fitxer d’excel que hi ha aquí trobareu les dades i els càlculs.

En aquest mateix fitxer també trobareu la distància ponderada en les eleccions de 2011 i 2007, i s’han marcat les meses que caldria utilitzar com a control per saber el resultat en les properes eleccions municipals.

En el cas de Mataró, en el següent mapa apareixen assenyalades les seccions censals on estan ubicades les meses de control utilitzant el criteri indicat en el paràgraf anterior, la distància ponderada en les eleccions municipals de 2011 i de 2007.

Les seccions censals de Mataró on hi ha les meses a controlar en les eleccions municipals de 2015. Les seccions censals de Mataró on hi ha les meses a controlar en les eleccions municipals de 2015.

 

Cal dir que el grau d’encert d’aquesta prova ha estat baix, únicament Lleida i Mataró han aconseguit la mateixa distribució de regidors. Des del nostre punt de vista, hi ha un parell de factors que influeixen en aquest baix grau d’encert.

El primer d’aquests factors és el nombre de meses; si agafem, per exemple, Terrassa, que és el municipi amb major nombre de meses electorals (239 al 2011), cal trobar 12 meses que aconsegueixen un resultat similar al del conjunt de Terrassa, i això vol dir que hi ha poques meses entre les quals escollir si ho comparem amb el que es va fer a On es vota... en què es disposava de més de 5.000 seccions censals (si haguessin estat meses el nombre seria molt més alt) entre les que buscar les que més s’assemblessin al que es va votar al conjunt de Catalunya.

El segon factor a tenir en compte són els canvis de seccionat que s’ha produït en alguns municipis, com per exemple en el cas de Girona, on en el 2010 es va dur a terme canvis importants en el seccionat de la ciutat, i per tant això va suposar un canvi en les meses electorals, amb la consegüent dificultat que suposa fer previsió a les eleccions del 2011 utilitzant meses d’eleccions precedents que possiblement no tenen res a veure amb les meses de les eleccions del 2011. Altres municipis com Terrassa o Sabadell també van patir importants canvis de seccionat entre les eleccions de 2007 i les de 2011. En el cas de Mataró, al 2014, s’ha produït alguns canvis en algunes seccions censals, el que forçosament significa que hi haurà canvis en algunes meses electorals en les properes eleccions respecte les últimes que van haver-hi.

No pretenem fer com en Nate Silver [4] que va predir correctament el guanyador a cadascun dels 50 estats i al Districte de Columbia en les eleccions presidencials dels Estats Units del 2012. El nostre objectiu és infinitament més modest, només volem indicar quines meses electorals cal “mirar” per predir una mica abans de tenir els resultats de totes les meses, quin resultat s’obtindrà en les properes eleccions municipals als municipis del Perfil de la Ciutat. En aquest altre fitxer d’excel trobareu la nostra “aposta” (aquí).

La pregunta és, encertarem? La resposta...el proper 24 de maig, òbviament.

Gerard Reverté Calvet  i  Toni Braza Moreno

Servei d’Estudis i Planificació de l'Ajuntament de Mataró

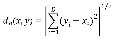
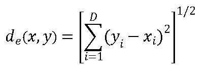
[1] Més concretament es va utilitzar la distància euclidiana al quadrat. La fórmula de la distància euclidiana és:distancia euclidiana

[2]La fórmula de la distància d’Aitchison és distancia aitchisonon g(x) i g(y) són la mitjana geomètrica —no la mitjana aritmètica— de la dada composicional de x i de y, respectivament.

[3]Si voleu conèixer més sobre dades composicionals podeu llegir l’article El problema del anàlisis estadístico de datos composicionales, o bé aquest altre article Measure of difference for compositional data and hierachical methods.

Al Grup de Recerca Estadística i Anàlisi de Dades de la Universitat de Girona en saben un niu de dades composicionals, i el proper 22 de maig a l’Institut d’Estadística de Catalunya es durà a terme una sessió titulada “Què pot aportar l’anàlisi composicional a l’estadística oficial? El cas de l’Enquesta d’ús del temps (EUT)”. Més endavant, al juny, a L’Escala, tindrà lloc el 6è International Workshop on Compositional Data Analysis.

[4] Nate Silver és el fundador del web http://fivethirtyeight.com/.

La teva valoració d'aquest article: 
Sigues el primer el valorar aquest article!
Fes clic al següent botó per enviar-ho per WhatsApp

Volem saber que en penses...

Sigues el primer en escriure un comentari